Strategy ONE
Permut (Permutation)
Returns the number of possible permutations for a given number of items selected as a group from a set.In permutation calculations, the internal order of the items selected affects the return. This differs from calculations of combinations, in which the order of the items selected does not affect the return. Combination (Combine) is categorized as a mathematical function.
Syntax
Where:
Number is the number of items in a set.
NumberChosen is the number of items selected for permutation.
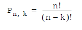
Expression
In the expression that follows, Number = n; NumberChosen = k.
Usage Notes
If an argument is not an integer, it is truncated.
This function returns an error value if:
- Either argument is nonnumeric
- Number < 0
- NumberChosen < 0
- Number< NumberChosen
