Strategy ONE
GammaDistribution
Returns either the cumulative Gamma distribution or the probability density of a random variable. This function is used in queueing analysis to study variables that may have a skewed distribution.
Syntax
GammaDistribution <Cumulative> (x, Alpha, Beta)
Where:
x is the value at which you want to evaluate the distribution.
Alpha is a distribution parameter.
Beta is a distribution parameter.
Cumulative is a logical value that determines the form of the function:
- If
Cumulative=0 (default), it returns the cumulative distribution. - If
Cumulative=1, it returns the probability density.
Expression
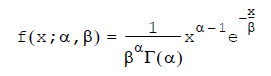
The expression for the standard gamma distribution is:
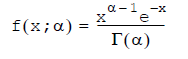
If alpha = 1, this function returns the exponential distribution as:
Usage Notes
When alpha > 0, this function is also known as the Erlang distribution.
The following conditions are invalid:
- Either alpha or beta is nonnumeric
- Either alpha £ 0 or beta £ 0
- x < 0
