Strategy ONE
BetaDistribution
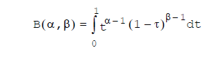
Returns the cumulative Beta distribution of the variables alpha and beta, where the probability density function is given by
Where:
This function is used to study percentage variations for an item across population samples (for example, how much of a day people spend watching television).
Syntax
BetaDistribution < Lower Bound, Upper Bound > (x, alpha, beta)
Where:
x is the value between Lower Bound (a) and Upper Bound (b) at which the function is evaluated.
alpha and beta are distribution parameters.
alpha=beta=
Lower Bound is an optional lower bound of the interval of x.
Upper Bound is an optional upper bound of the interval of x.
Usage Notes
The following conditions are invalid:
- x, alpha, or beta is nonnumeric.
- alpha £ 0 or beta £ 0.
- x < Lower Bound or x > Upper Bound.
- Lower Bound = Upper Bound.
