Strategy ONE
Intercept
Returns the point at which a line intersects the y-axis in a graph. This function is used to determine the value of a dependent variable Y when the value of its associated independent variable X is 0. The point of intersection is based on a best-fit regression line plotted through available values of X and Y.
Syntax
Intercept <FactID> (Argument1, Argument2)
Where:
Argument1 is the dependent set of observation data represented by a fact or metric.
Argument2 is the independent set of observation data represented by a fact or metric.
FactID is a parameter that forces a calculation to take place on a fact table that contains the selected fact.
Expression
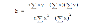
In the expressions that follow, Argument1 = Y, Argument2 = X.
The equation for the intercept of the regression line is
The slope of the regression line is calculated as:
Usage Notes
This function results in an invalid value if Argument1 and Argument2 contain a different number of data points.
Example
For an example using the Intercept function, see Hypothesis Testing Example.
