MicroStrategy ONE
Slope (of a linear regression)
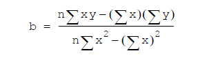
Returns the slope of a linear regression line. In a regression line passing through a set of data points in data sets Argument1 and Argument2, the slope is the vertical distance divided by the horizontal distance between any two points on the line. This ratio is also known as the rate of change along the line.
Syntax
Slope <FactID> (Argument1, Argument2)
Where:
Argument1 is a fact or metric containing numerically dependent (y) data points.
Argument2 is a fact or metric containing numerically independent (x) data points.
FactID is a parameter that forces a calculation to take place on a fact table that contains the selected fact.
Expression
Usage Notes
The following conditions are invalid:
- Either Argument1 or Argument2 contains NULL values.
- Argument1 and Argument2 have a different number of values.
Example
See Hypothesis Testing example for an example using the Slope function.
