MicroStrategy ONE
Histogram Median
Histogram Median is a distributive implementation to calculate approximation of median over large datasets.
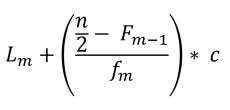
Formula
Where:
Lm is the lower limit of the median bar.
n is the total number of observations in the set.
Fm-1 is the total number of observations in all bars below the median bar.
fm is the frequency of the median bar.
c is the median bar width.
Syntax
HistogramMedian([ValueList], NumberOfHistograms)
Where:
ValueList is an attribute, fact, or metric representing a list of values.
NumberOfHistograms represents the histograms to be analyzed.
Example
This example shows a report to find the median Revenue per Customer for each Income Bracket in the Central Region.
HistogramMedian([Max Revenue per Customer], [Max Revenue per Customer]) {~ , Region}
