MicroStrategy ONE
AvgDev (Average Deviation)
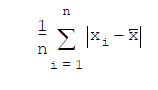
Returns the average of the absolute deviations of a set of data points from the mean. Similar to standard deviation, average deviation is a measure of the variability in a data set.
Syntax
Where:
FactID is a parameter that forces a calculation to take place on a fact table that contains the selected fact.
Argument is a fact or metric representing a list of numbers.
Expression
In this expression, x is a value in a fact table.
Where:
is the average of all xi
